https://www.acmicpc.net/problem/1167
1167번: 트리의 지름
트리가 입력으로 주어진다. 먼저 첫 번째 줄에서는 트리의 정점의 개수 V가 주어지고 (2 ≤ V ≤ 100,000)둘째 줄부터 V개의 줄에 걸쳐 간선의 정보가 다음과 같이 주어진다. 정점 번호는 1부터 V까지
www.acmicpc.net
0. 문제
트리의 지름이란, 트리에서 임의의 두 점 사이의 거리 중 가장 긴 것을 말한다.
트리의 지름을 구하는 프로그램을 작성하시오.
1. 아이디어
1. 트리의 지름은 다음과 같이 구할 수 있다.
임의의 노드 A에서 가장 먼 노드 B를 구한다.
노드 B에서 다시 한 번 가장 먼 노드 C를 구하면 그 사이의 거리가 지름이다.
2. 위 공식이 어떻게 가능한 지 생각해보자.
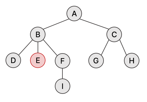
노드 E를 기준으로 생각해보자. 트리의 지름은 E를 포함하는 경우, 포함하지 않는 경우가 있을 것이다.

트리의 지름이 E를 포함하는 경우는 그림과 같다.

- 이는 위 공식에서 첫 번째로 임의의 노드 E에서 시작해 가장 먼 노드H를 찾는 경우에 해당한다.
- 만약 E에 자식 노드가 있었다면? 그 경우는 두 번째로 가장 먼 노드H 에서 다시 한 번 가장 먼 노드를 찾을 때 고려된다.
트리의 지름이 E를 포함하지 않는 경우는 그림과 같다.

- 이 때는 첫 번째로 가장 먼 노드 H를 찾고, 두 번째로 가장 먼 노드 H에서 다시 한 번 가장 먼 노드를 찾을 때 고려된다.
따라서 위 공식으로 트리의 지름을 구할 수 있다.
2. 구현
import sys
input = sys.stdin.readline
def bfs(n):
visited = [0] * (V+1)
q = [n]
visited[n] = 1
while q:
v = q.pop(0)
for w, dist in tree[v]:
if not visited[w]:
q.append(w)
visited[w] = visited[v] + dist
# 출력할 때 dist 시작 값이 1이라 dist 값은 1 빼줘야 함
max_dist = max(visited)
max_node = visited.index(max_dist)
return max_node, max_dist
V = int(input())
tree = [[] for _ in range(V+1)]
for _ in range(V):
IN = list(map(int, input().split()))
n1 = IN[0]
i = 1
while IN[i] != -1:
n2, dist = IN[i], IN[i+1]
tree[n1].append((n2, dist))
i += 2
# 임의의 노드에서 가장 먼 노드를 구한다
# 가장 먼 노드에서 가장 먼 노드를 구하면 트리의 지름
max_node, max_dist = bfs(1)
max_node, max_dist = bfs(max_node)
print(max_dist - 1)
'APS > BOJ' 카테고리의 다른 글
| [Python / BOJ 20440] 니가 싫어 싫어 너무 싫어 싫어 오지 마 내게 찝쩍대지마 (0) | 2022.06.19 |
|---|---|
| [Python / BOJ 13397] 구간 나누기 2 (0) | 2022.06.19 |
| [Python / BOJ 13459] 구슬 탈출 (0) | 2022.03.03 |
| [Python / BOJ 18808] 스티커 붙이기 (0) | 2022.03.03 |
| [Python / BOJ 10844] 쉬운 계단 수 (0) | 2022.02.22 |